Grade: C2600, C2680, C2700,C2801, H70, H65, H62,etc.
Thickness: 0.15mm - 5.0mm
Width: 8mm - 1250mm
Temper: O, 1/4H, 1/2H, 3/4H, H, EH, SH
Shanghai Metal Corporation is a leading Brass Strip manufacturer and supplier.
Brass strip has excellent plasticity (best in brass) and high strength, good machinability, easy to weld, very stable to general corrosion, but prone to corrosion cracking; brass band is copper and The alloy of zinc is named for its yellow color.
The mechanical properties and wear resistance of the brass band are very good, and can be used to manufacture precision instruments, ship parts, shells of guns, etc. Brass knocks up and sounds good, so instruments such as cymbals, cymbals, bells, and numbers are made of brass. According to the chemical composition, brass is divided into ordinary copper and special brass.we also can provide brass sheet.
If you want to know more about our copper products or Brass Sheet please feel free to contact us, we will reply you within 24 hours.
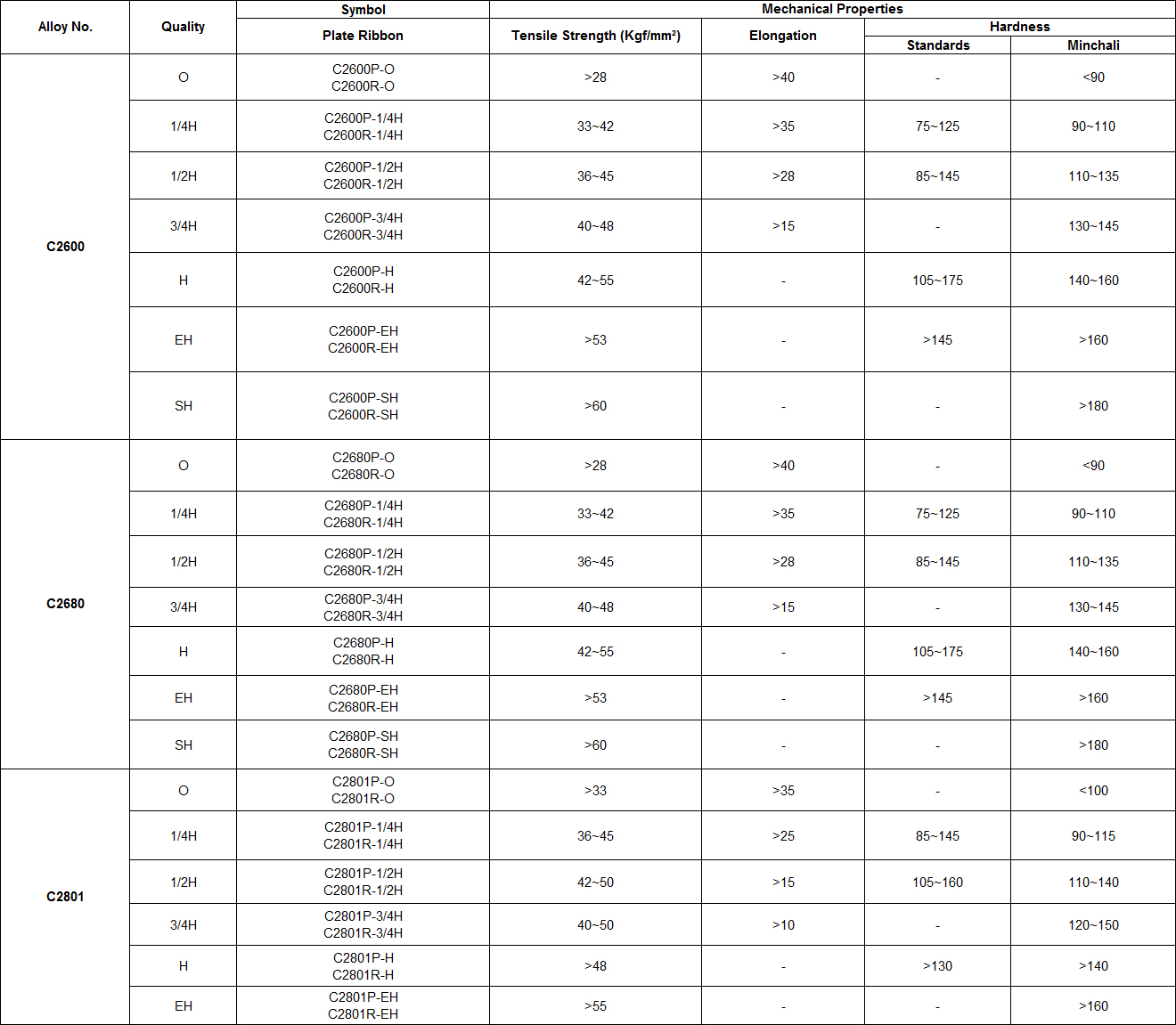
Mechanical Properties of Brass Strip:


Manufacturing of Brass Strip

Packaging of Brass Strip
Shanghai Metal Products are packed and labeled according to the regulations and customer's requests. Great care is taken to avoid any damage which might be caused during storage or transportation. In addition, clear labels are tagged on the outside of the packages for easy identification of the product I. D. and quality information.
1) Shanghai Metal Standard
2) Customization

Applications of Brass Strip:
1) Key / lock cylinder
2) Ornaments
3) Terminals
4) Radiators for cars
5) Components of camera
6) Handicraft articles
7) Thermos bottles
8) Electrical equipment
9) Accessories
10) Ammunitions, etc.
Main equipment for Brass Strip :
1) Melting Furnace
2) Hot Rolling Mill
3) Milling Line
4) 4 High /6 High Reversing Cold Rolling Mill
5) 12 High /20 High Finish Rolling Mill
6) Pickling Line
7) Degreasing Line
8) Annealing Facility
9) Tension Leveler Line
10) Roll Grinding Machine